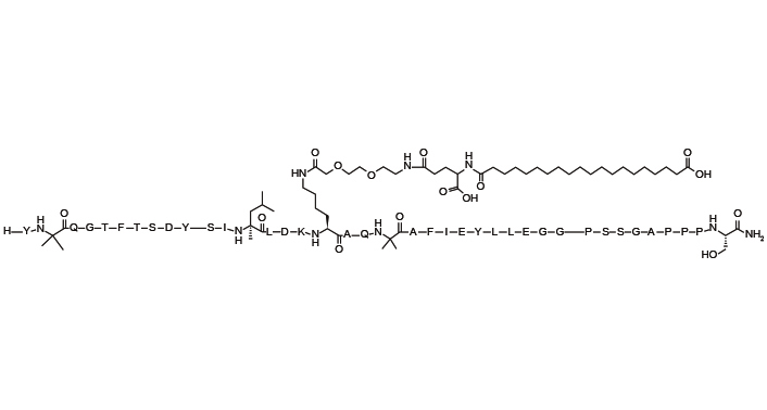
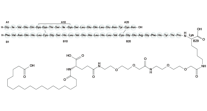
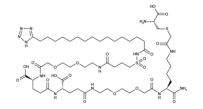
Product
GLP-1, GLP-1/GIP series
GLP-1 and GLP-1/GIP series are long-acting formulations and have good therapeutic effects on type 2 diabetes. Semaglutide DMF#040471
















